عن الهيئة
اتصل بنا
استعادة كلمة المرور
إرسال كود التفعيل
تسجيل
الرئيسية
بيانات التحويل
المدن المطروحة
الهيئة
كيفية الحجز
الأسئلة الشائعة
إتصل بنا
دخول
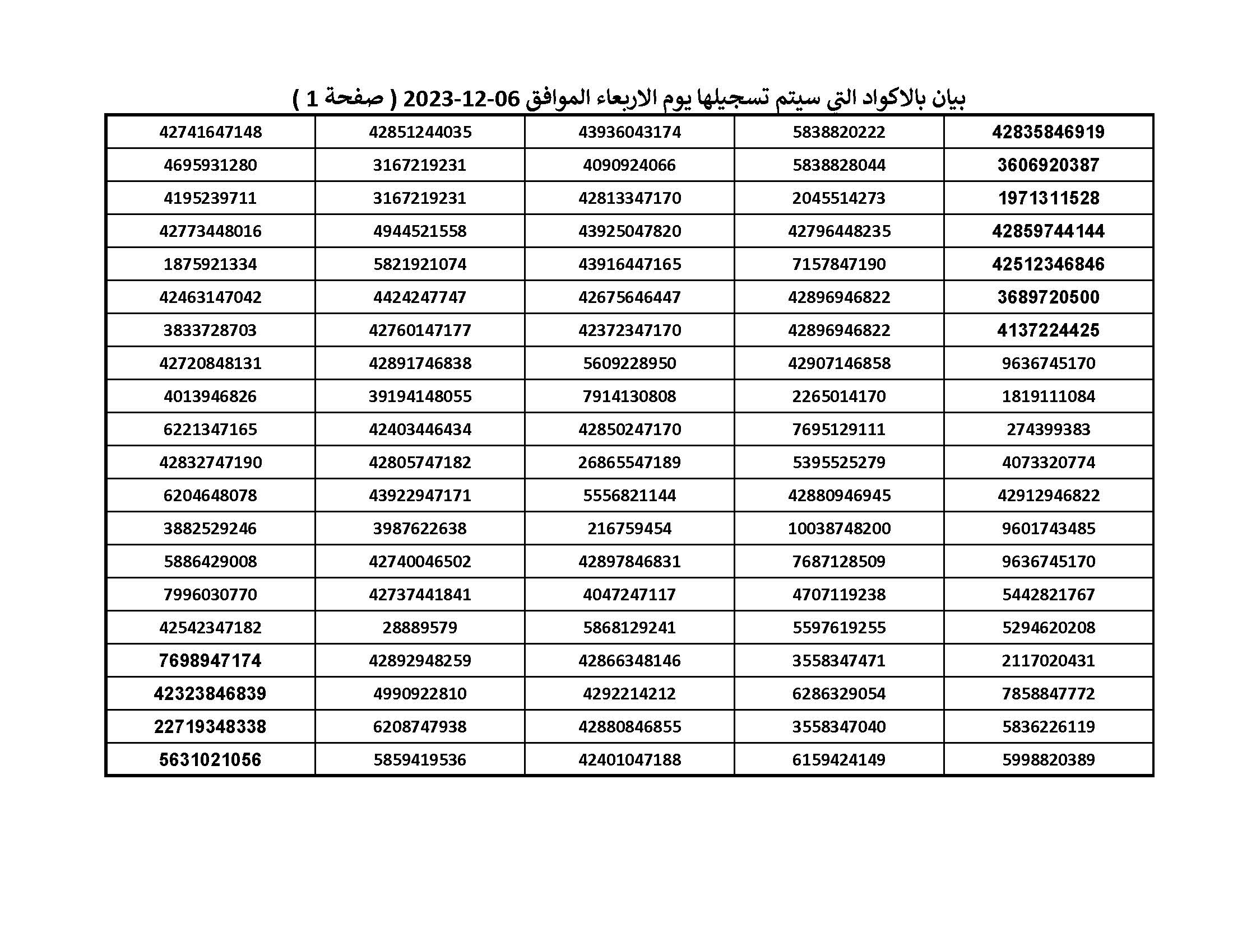
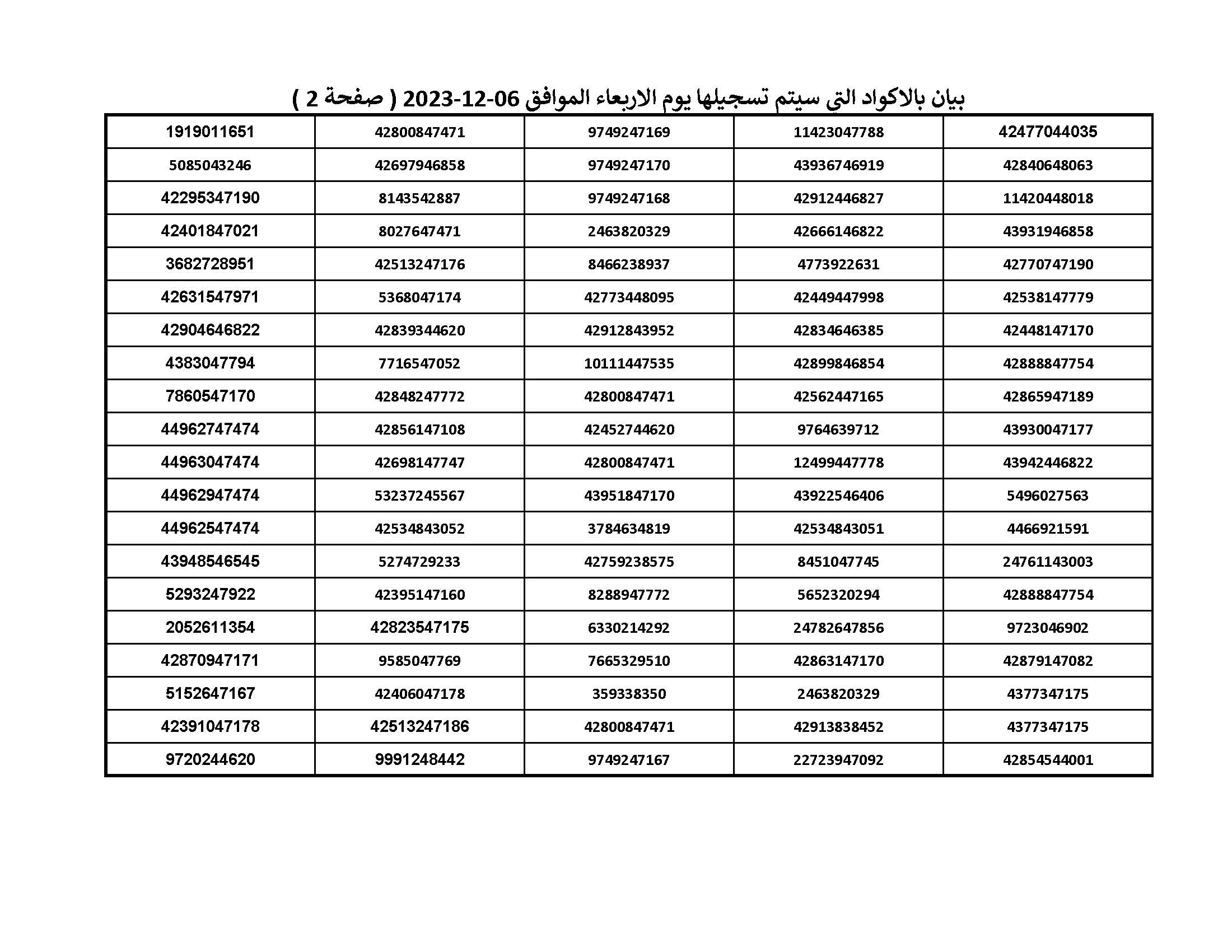
بيان باكواد الاسبوع السابع
29-11-2023
بيان باكواد الاسبوع السابع اعتبارا من يوم الاحد الموافق 3-12-2023 حتي يوم الخميس الموافق 7-12-2023
معرض الصور
خاصية ال Cookies مغلقة فى المتصفح الخاص بك. برجاء تفعيل الخاصية ثم اعادة المحاولة مرة أخرى
Cookies are disabled in your browser. Please enable the cookies and try again